书籍共享《AI算法工程师手册》中文教程正式发布
最近小编在浏览网页的时候,偶然发现一份非常不错的 AI 资源,就是这本《AI 算法工程师手册》 。本文将给大家推荐这本优秀教材,并作详细的介绍。
这本《AI 算法工程师手册》已正式开源,无需购买纸质书籍,可以直接在线阅读,体验感爆棚。在线阅读地址为:http://huaxiaozhuan.com/。小编已经将在线阅读文档整理成了PDF,大家关注公众号以后,后台回复AI手册即可下载,不过注意该书籍仅供个人学习使用,非作者同意不得应用于商业领域。
作者简介
首先不得不提一下本书的作者,作者华校专,清华航天学院工程力学本科,国防科大计算机专业硕士。学霸一枚,清华四年每年成绩都是本系头名。毕业后曾在部队从事专业相关工作,并研读了大量专业书籍在,从操作系统底层到应用APP开发,并且仿照 C++ STL 的风格实现了各种算法(算法导论的C++实现已经放在个人的github上)。作者曾经在阿里巴巴担任资深算法工程师,现任智易科技首席算法研究员。他还是《Python 大战机器学习》书籍的作者。
作者Github:https://github.com/huaxz1986
书籍介绍
这本《AI 算法工程师手册》是作者多年以来学习总结的笔记,经整理之后开源于世。关于为什么将完整书籍开源,作者是这样说的:曾有出版社约稿,但是考虑到出版时间周期较长,而且书本购买成本高不利于技术广泛传播,因此就采取开源的形式。
既然本书是 AI 算法工程师的手册,因此内容非常丰富,基本涵盖了机器学习、深度学习等领域的很多重要理论知识和实战经验,同时也介绍了工程应用中经常使用的 AI 工具和编程库。
书籍整体包含了 5 大块内容,分别是:
数学基础
统计学习
深度学习
自然语言处理
工具
下面我们分别来看一下各模块的内容。
1. 数学基础
提升 AI 内功心法离不开扎实的数学基础。本书数学基础这部分,作者主要介绍了最重要的 4 点:
1. 线性代数基础
2. 概率论基础
3. 数值计算基础
4. 蒙特卡洛方法与 MCMC 采样
例如线性代数部分最基本的基础知识:
2. 统计学习
这部分内容作者花了比较大的篇幅,主要介绍的是机器学习中一些常见的算法,包括线性回归、感知机、支持向量机、决策树、集成学习等。同时还包括模型评估、特征选择、降维等。具体内容如下:
0. 机器学习简介
1. 线性代数基础
2. 支持向量机
3. 朴素贝叶斯
4. 决策树
5. knn
6. 集成学习
7. 梯度提升树
8. 特征工程
9. 模型评估
10. 降维
11. 聚类
12. 半监督学习
13. EM算法
14. 最大熵算法
15. 隐马尔可夫模型
16. 概率图与条件随机场
17. 边际概率推断
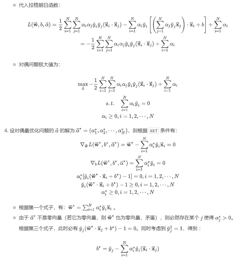
每个算法的理论介绍非常详细、数学推导完整,例如支持向量机中关于对偶问题的推导:
3. 深度学习
这部分主要介绍深度学习神经网络的基本知识和模型,包括前馈神经网络、卷积神经网络、循环神经网络等。具体内容如下:
0. 深度学习简介
2. 反向传播算法
3. 正则化
4. 最优化基础
5. 卷积神经网络
6. 循环神经网络
7. 工程实践指导原则
这部分详细介绍了神经网络模型的基本结构和训练方法,例如列举了经典 CNN 结构:LeNet、AlexNet、VGG-Net、Inception、ResNet、ResNet 变种、SENet、DenseNet。
1998 年 LeCun 推出的 LeNet 网络
4. 自然语言处理
这部分作者主要介绍了自然语言处理领域的 2 个方面:
1. 主题模型
Unigram Model
pLSA Model
LDA Model
型讨论
2. 词向量
向量空间模型 VSM
LSA
Word2Vec
GloVe
5. 工具
这部分主要介绍了 AI 常用工具和函数库,具体内容如下:
1. CRF
2. lightgbm
3. xgboost
4. scikit-learn
5. spark
6. numpy
7. scipy
8. matplotlib
9. pandas
这部分的内容更加侧重于 AI 实战,包含很多具体函数库的使用教程和代码。例如 lightbgm 是一个快速的,分布式的,高性能的基于决策树算法的梯度提升框架。可用于排序,分类,回归以及很多其他的机器学习任务中。本书对 lightbgm 的安装、各参数含义、调参、使用等都作了详细的介绍,宛如一份优秀的中文文档!
这里附上 lightbgm 简单的 pip 安装方法:
pipinstalllightgbmpipinstall--no-binary :all: lightgbm 从源码编译安装pipinstalllightgbm--install-option=--mpi 从源码编译安装 MPI 版本pipinstalllightgbm--install-option=--gpu 从源码编译安装 GPU 版本pipinstalllightgbm--install-option=--gpu --install-option="--opencl-include-dir=/usr/local/cuda/include/" --install-option="--opencl-library=/usr/local/cuda/lib64/libOpenCL.so" 从源码编译安装,指定配置可选的配置有:boost-rootboost-dirboost-include-dirboost-librarydiropencl-include-diropencl-library
同样,像 xgboost、scikit-learn 等库,书中也作了详尽的解释。除此之外,还有 spark 的内容哦,可以说是非常全面了。
最后
不得不说,这本《AI 算法工程师手册》是一本比较完备的 AI 书籍,既包含了算法理论,也有实战 AI 算法库的使用。作为一份参考手册还是非常不错的!
更重要的是本书完全开源,直接在线阅读就好了。小编已经将在线阅读文档整理成了PDF,大家关注公众号以后,后台回复AI手册即可下载,不过注意该书籍仅供个人学习使用,非作者同意不得应用于商业领域。
@AI有道
版权声明
本文版权归《AI有道》,转载请自行联系。
历史文章推荐:
一篇注入了灵魂的 cycleGAN 代码解读
学习率和batchsize如何影响模型的性能?
深度相机室内实时稠密三维重建简介
SFFAI分享 | 马聪:NLP中的生成式预训练模型【附PPT与视频资料】
一幅图真正理解LSTM的物理结构
再谈人脸识别损失函数综述
初学者|今天掌握SnowNLP好不好
【AI产品】深扒美图秀秀中掳获万千少女芳心的AI秘籍
旷视研究院新出8000点人脸关键点,堪比电影级表情捕捉
PointNet系列论文解读
你正在看吗??
-
上一篇
AI算法工程师01人工智能基础-快速入门
一、我们身处人工智能的时代
-
下一篇
经常被搅进各种招聘,面试的漩涡里面,手上掐着一堆JD,自己邮箱里面也填满了各家公司的招聘信息,每当这时,我都会翻出来看看,想着要不要踹掉我们的CEO,然后奔向更广阔的钱途,咳咳,我就是瞎想想。
稍微展示下作者邮箱里面塞的小卡片们,不,小JD们,为了证明我还是很贵的,但是为了梦想,跟CEO一起,喝着西北风,也是满满的情怀。
正在看我文章的某CEO,麻烦自觉一点点,对我好点,不要老是批评我,已经没有钱了,我要求人文关怀,偶尔夸夸我。
好啦,回归主题哈,首先讲一下现在行业的情况哈,参考下之前科大讯飞研究院院长胡郁先生的话,
不过讲完就裁员了,要么就是真的要在硅谷建研究院,总之就是真的养不起了。
对于企业而言,AI算法工程师就像磨人的小妖精,爱恨之间纠结,你说你一个人工智能企业,总要有做技术的吧,但是一招聘,才发现市场乱的吆。
那些努力的挖BAT等墙角的猎头们,已经完成了换车换房等一系列操作,毕竟在人才培养上面,高校显得是那么的有心无力,去年国内开AI专业的才5家高校,作为一个AI人才,要么自学成才,要么行业有钱的企业或者研究院养着前瞻性研究烧钱烧出来的(作者大概属于后者,为此CEO大大吐槽了我从家养到野生的自我放逐的心理),不得不说,BAT给头条等企业输送了大量的人才。
先说说招聘企业的类型吧。
一、BAT,被挖墙脚挖的太厉害了,只好补充新鲜血液。因为拥有了前人不断积累的技术实力,因此在面试中比较硬气,宁缺毋滥,尤其在应届生招聘中。
如果想要进BAT的,又觉得自己能力不足的应届生,那么不妨先进一家技术不错的公司磨砺两年,然后再投递简历,这样成功率要远远高于刚毕业那会儿的,毕竟你带着前东家的技术积累过来了,BAT看中还有前东家的对你的技术培养。但是薪资并不具有那么高的竞争力,尤现在AI的江湖里面,拿到钱的创业公司太多了,好的应聘者已经被钱吸引的跑了,不稀罕BAT的那些培养。但是想转行啥的,BAT作为一个跳板蛮好的,毕竟呆个两三年,然后跳槽薪资疯长是常态,另外说一声,阿里腾讯加班很厉害。
二、互联网新贵们,趣头条,字节、PDD等不差钱的公司,这些公司专门有人挖墙脚,薅大量候选人去面试,你不来就问有没有认识的人推荐,之前有位朋友过去,我有点诧异,这种加班到10点的公司,为嘛要去呢?
后来想想也明白了,加班给钱多,大部分的码农们吃苦耐劳,所以薪资一直是最大的动力,这里要吐槽下,行业有点奇葩,就是现在码农们的跳槽周期从之前的三五年,到现在平均13个月。据说今年年终奖头条发了很多,刚进来的也有。
想要进这种公司,最好就是背景漂亮的候选人,BAT背景,国外大厂工作经验,名校毕业等。然后经过三笔三面,拿到offer,走上人生巅峰。
另外,商汤,旷视、第四范式等以技术起家的公司,offer也很谨慎,一般都是直推或者面试很严格,薪资跟BAT差不多。
三、华为,华为一个搞通讯类起家的公司,现在看到人工智能这个趋势,不搞也不行了,所以现在华为大手笔的布局了各种AI+使用场景,话说出去了,只好招人搞,我看到了华为几个使用场景的解决方案,这种业界叫做系统集成商,所以一些技术是外包的。
去年任总就说华为不招人了,大家注意下时间节点哈,但是华为的HR一直联系我,各个部门的都有。
华为蛮舍得给钱倒是真的,我一个朋友,同时刷了商汤、华为两个offer,都在杭州,商汤80w,华为120w+。
四、传统企业,那些大型国企,国企金融行业等,也要拥抱AI,招聘也缺人,就是薪水不高,吸引不了什么人才,最后项目大概率还是会外包的。
最近面试一些AI算法工程师的心得
做AI技术的圈子就那么小,作者因为工作的原因,反正大家对我的第一印象就是那个做AI技术的,有什么事情找她就对了,好吧。
