C—C++如何进行持续交付?使用Jenkins+Conan!
点击蓝字
关注我们
C 和 C ++ 目前被应用在操作系统、嵌入式系统、财务、科研、汽车、机器人、游戏等非常重要的行业。主要原因是 C 和 C++ 相比于其他技术来说拥有很高的性能。但同样,C/C ++ 生态系统也面临一些巨大的挑战:
巨石应用 -- 拥有数百万甚至更多行代码,在不使用现代工具的情况下很难管理项目。
应用程序二进制接口(ABI)不兼容 -- 为了保证库与其他库和应用程序的兼容性,需要控制不同的配置(如操作系统,体系架构和编译)。
编译时间慢 -- 由于包含头文件和预处理器扩大,再加上上述挑战,需要特别注意优化过程并仅重建需要重建的库。
代码链接和内联 -- 静态 C/C++ 库可以嵌入来自相关库的头文件。另外,共享库可以嵌入一个静态库。在这两种情况下,当它们的依赖关系发生变化时,都需要管理库的重建。
不同的生态系统 -- 针对不同的平台、目标和用途,有许多不同的编译器和生成系统。
本文将展示如何使用 Jenkins CI,Conan C/C++ 包管理器和 JFrog Artifactory 通用工件存储库实现 DevOps C/C++ 开发的最佳实践。
Conan,C/C++ 包管理器
Conan 的诞生就是为解决这些痛点。
Conan 使用了 Python,描述了如何通过显式调用任何构建系统来构建库,还描述了用户所需的信息(包括目录,库名等)。Conan 使用Settings(操作系统,架构,编译器等)管理不同的配置和 ABI 的兼容性。当一个设置被改变时,Conan 为同一个库生成一个不同的二进制版本。
构建后的二进制文件可以上传到 JFrog Artifactory 或 Bintray,与团队或整个社区共享。 团队中的开发人员不需要重新编译库,Conan 将从配置好的远程库(分布式模型)中仅提取匹配用户配置所需的二进制包。 但是还有更多的挑战需要解决:
如何管理 C/C++ 项目的开发和发布过程?
如何分发你的 C/C++ 库?
如何测试你的 C/C ++ 项目?
如何为不同的配置生成多个包?当其中一个更改时,如何管理库的重建?
Conan 生态系统
Conan 生态系统正在快速发展,使用 C/C++ 的 DevOps 现在已经成为现实:
JFrog Artifactory 管理完整的开发和发布周期。
JFrog Bintray 是通用的分发中心。
Jenkins 自动执行项目测试,生成 Conan 软件包的不同二进制配置,并自动重建库。
Jenkins Artifactory 插件
提供 Conan DSL,是比较通用但有效的从 Jenkins 流水线脚本调用 Conan 的方法。
使用 Artifactory 实例管理远程配置,隐藏认证详细信息。
收集从 Conan 操作(安装/上传包)的工件来生成 Buildinfo 并且发布到 Artifactory。 BuildInfo 对象是非常有用的,例如,将创建的 Conan 包推广到不同的存储库并对 Jenkins 构建具有完整的可追溯性:
下面是带有 Artifactory 插件的 Conan DSL 的一个例子。首先我们配置 Artifactory 存储库,然后检索依赖关系并最终构建它:
在上面的例子中你可以看到 Conan DSL 是非常明确的。它对常用操作有很大的帮助,而且也允许强大的自定义集成。这对于 C/C++ 项目非常重要,因为每个公司都有一个非常具体的项目结构,自定义集成等。
复杂的 Jenkins 流水线操作:
管理和并行包的构建
正如我们在本文开始时看到的那样,在构建 C/C++ 项目时节省时间至关重要。 以下是几种优化流程的方法:
只重新构建需要重建的库。 有些库已经被一个依赖库的改变而影响了。
如果可能,并行构建。 当项目关系图中两个或多个库之间没有关系时,可以并行构建它们。
并行构建不同的配置(操作系统,编译器等)。
我们来看一个使用 Jenkins 流水线功能的例子
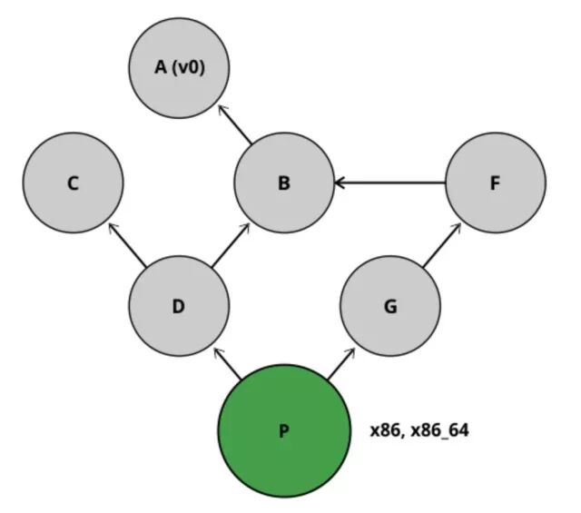
上图显示了我们的项目 P 及其依赖关系(A-G)。我们希望分发两个不同的体系结构,x86 和 x86_64。
如果我们改变库 A 会发生什么?
如果我们碰到 A(v1)的版本没有问题,我们可以更新 B 的要求,也可以将版本升级到 B(v1)等等。完整的流程如下:
将A(v1)版本推送到 Git,Jenkins 将构建 x86 和 x86_64 二进制文件。Jenkins 会把所有的包上传到 Artifactory。
手动将 B 更改为 v1,现在取决于 A1,推送到 Git,Jenkins 将使用从 Artifactory 检索到的新 A1 来为 x86 和 x86_64 构建 B(v1)。
对 C,D,F,G 和我们的项目重复相同的过程。
但是,如果我们在开发库中开发我们的库,我们可能依赖于最新的 A 版本,或者将在每次 Git 推送时重写 A(v0)软件包,并且我们希望在这种情况下自动重建受影响的库 B,D,F ,G 和 P。
Jenkins 流水线会怎么做
首先我们需要知道哪些库需要重新构建。conan info --build_order命令会标识在我们的项目中被更改的库,并且还告诉我们哪些可以并行重新构建。
于是,我们创建了两个 Jenkins 管道任务:
建立每个单一库的 SimpleBuild 任务。类似于使用 Jenkins Artifactory 插件使用 Conan DSL 的第一个示例。这是一个参数化的任务,接收需要构建的库。
MultiBuild 任务,在可能的情况下并行的协调、启动 SimpleBuild任务。
我们也有一个 Yml 配置的仓库。 Jenkins 任务将使用它来了解每个库的配置,以及要使用的不同配置文件。在这种情况下,它们是 x86 和 x86_64。
这意味着我们需要开始构建 B,然后我们可以并行构建 D 和 F,最后构建 G。请注意,库 C 不需要重建,因为它不受 A 库变化的影响。
MultiBuild任务的 Jenkins 流水线脚本将对SimpleBuild任务的并行调用,最后并行启动组。
最终,这将会发生什么:
两个 SimpleBuild 任务将被触发,都是用于构建库 B,一个用于 x86 还是另一个用于 x86_64 体系结构
一旦A和B被构建,将触发F和D,4个工作将同时运行SimpleBuild任务(x86,x86_64)
最后将构建G。所以2个工作将平行运行。
Jenkins Stage 视图:
MultiBuild
SimpleBuild
我们可以在不同节点(Windows,OSX,Linux ...)中配置 SimpleBuild 任务,并控制 Jenkins 配置中可用的执行程序的数量。
总结
对于 C/C++ 来说,落地 DevOps 仍然是许多公司需要做的事情。 这需要大量的时间投入,但从长远来看可以节省很多的时间在开发阶段并且释放生命周期。 而且它提高了 C/C++ 产品的质量和可靠性。
上面的 Jenkins 示例演示了如何并行控制库构建,只是通过 Groovy 代码和一个自定义的方便的 Yml 文件。 关于它的伟大的事情不是例子或代码本身。 最重要的是可以定义自己的流水线脚本以适应特定的工作流程,这要归功于 Jenkins Pipeline,Conan 和 JFrog Artifactory。
原文链接:https://jenkins.io/blog/2017/07/07/jenkins-conan/
推荐阅读
Artifactory 如何使用 SHA-256 进行安全存储?
用代码描述流水线 - Jenkins Pipeline 详解
杰蛙 JFrog
联系我们:info@jfrogchina.com
▽点击阅读原文,进入 JFrog 官网
Jenkins安装和持续集成环境配置
- 持续集成流程说明
- Gitlab代码托管服务器安装
- 源码上传到Gitlab合库
- 持续集成环境(1)-Jenkins安装
- 持续集成环境(2)-Jenkins插件管理
- 持续集成环境(3)-Jenkins用户权限管理
- 持续集成环境(4)-Jenkins凭证管理
-
大开眼界!Jenkins结合SpringCloud+K8S,打通微服一条龙技术讲解
Jenkins是目前最常用的持续集成工具,拥有近50%的市场份额,他还是很多技术团队的第一个使用的自动化工具。由此可见他的重要性!
